Product Series
推薦產品
河南華東起重機械設備公司
服務熱線:400 086 9590
公司:河南華東起重機械設備有限公司
聯系人:賈經理
聯系電話:13903802779
地址:河南新鄉市封丘縣起重機工業園區
當前位置: 起重機 > 起重機文章
LDA型單梁起重機|單梁起重機
時間:2024-05-24來源:起重機廠家瀏覽次數:1
LDA型電動單梁起重機產品介紹:
LDA型電動單梁起重機是LD型電動單梁起重機的基礎上進行改進,按標準JB/T1306-1994設計制造,可與CDI型電動葫蘆、MDI型電動葫蘆配套使用,是一種有軌運行的輕小型起重機。具有外形尺寸緊湊、建筑凈空高度低、自重輕、輪壓小等優點。
LDA型電動單梁起重機設有地面、操縱室、遙控三種操縱形式,操縱室又設有端面及側面開門兩種形式,以供用戶選擇使用。
電動葫蘆單梁起重機組成:
1、電動單梁起重機四大部分分法:
電氣控制系統:大車控制箱、電動葫蘆葫蘆控制箱、操縱裝置、限位器、電纜線
起重機行走機構:行走電機、減速器、車輪組
電動葫蘆:葫蘆運行小車、起重(運行)電機、減速機、卷筒組、鋼絲繩、吊鉤組
金屬結構橋架:主梁、端梁、挑線裝置
2、電動單梁起重機五大部分分法:
主梁、端梁、大車運行機構、電動葫蘆、電氣系統
LDA型電動單梁起重機產品應用:
單梁起重機結構簡圖:

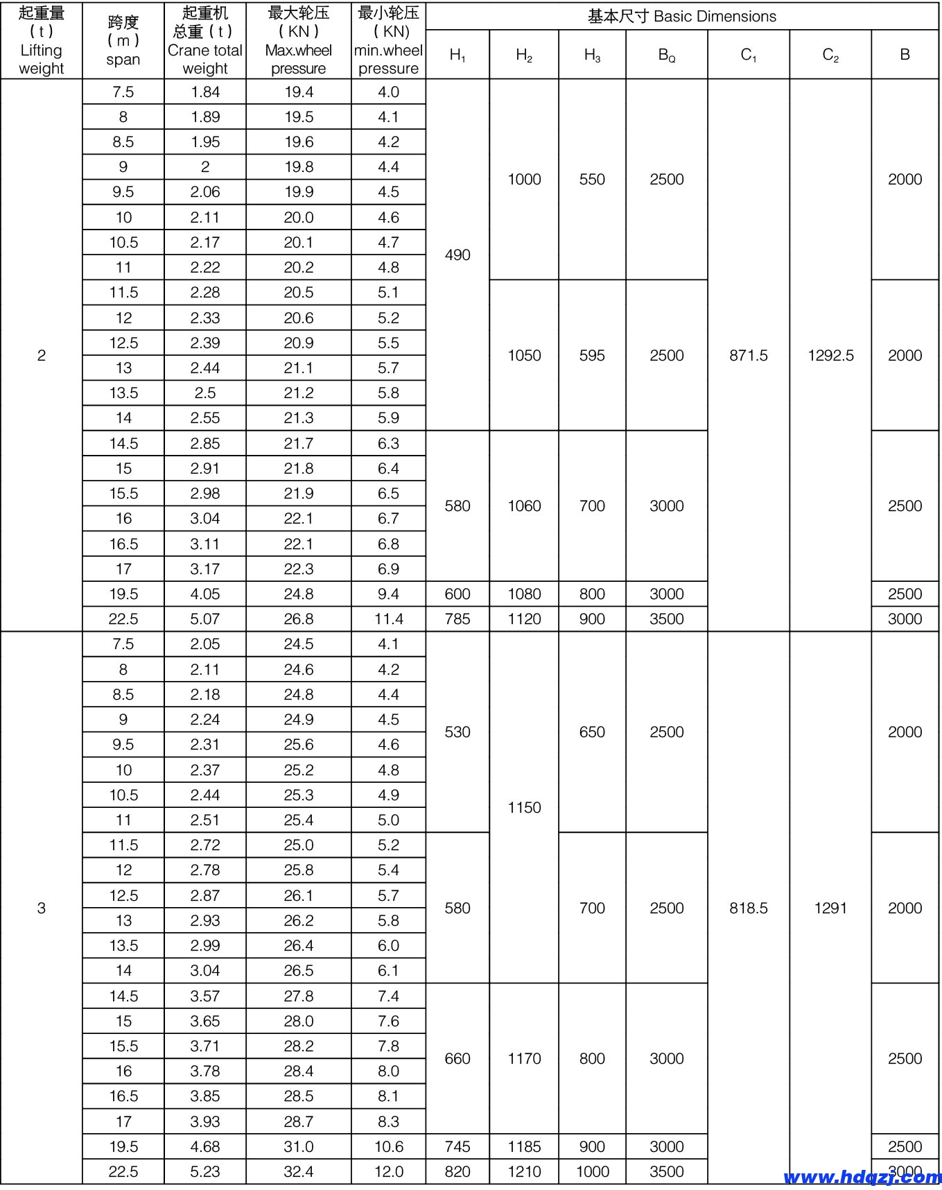
LDA型電動單梁起重機參數表
























